~コロナ対策やウクライナ対応への評価にも年代差~
社会調査研究センター(本社:さいたま市、代表取締役社長:松本正生)は、2022年4月23日(土)に、RDD方式による全国世論調査を実施。岸田政権は安定軌道に乗りつつあるように見える一方、若年層の支持は低迷していることが分かりました。また、コロナ対策やウクライナ対応についても年代による評価の違いが鮮明となりました。

社会調査研究センターは、2022年4月23日(土)、RDD方式による全国世論調査を実施しました。調査の方法は、携帯電話(スマートフォン)へのSMS(ショートメッセージ) + Web(インターネット)、および、固定電話へのIVR(オートコール)を複合した、新しいミックス・モード手法 = 「ノン・スポークン (Non-spoken) 調査」を採用しています。有効回答者数は、携帯714人、固定304人、計1,018人でした。
<詳細はこちらをご参照ください> https://ssrc.jp/materials/159175689910301.pdf
調査トピックス
岸田内閣支持率50%、若年層は低迷
ウクライナ対応への評価でも顕著な年齢差
内閣支持構造の変容:「若高―老低」から「若低―老高」へ
内閣支持・不支持を分けたものは?
政党支持と憲法意識の関係
■岸田内閣 : 支持率50% vs 不支持率34%、若年層は低迷
今月の岸田内閣支持率は、前回3月の48%から2ポイント増の50%、不支持率は3月の38%から4ポイント減の34%となりました。支持から不支持を差し引いた比率は、前回の10ポイントから16ポイントに広がりました。
【表1】は、岸田内閣の支持・不支持と、政府のコロナ対策への評価について、推移をまとめたものです。21年12月と22年1月を除くと、コロナ対策評価と内閣支持・不支持が連動するという、いつもながらの関係が続いています。内閣支持率は3か月ぶりに5割に回復し、岸田政権は安定軌道に乗りつつあるようにも思われます。
【表1】岸田内閣支持・不支持とコロナ対策評価

岸田内閣の支持率と不支持率を年齢別に確認してみましょう。【図1】を参照してください。支持率は、3月(左図)、4月(右図)ともに、若年層で低く、年齢の上昇とともに比率の上がる「若低-老高」の年功型を示しています。とりわけ今月の形状は、きれいな右肩上がりの階段構造を示しており、18~29歳の最若年層と70歳以上の最高齢層の比率差は25ポイントに拡大しました。
【図1】内閣支持率(年齢別)

しかも、18~29歳、30代の若年層では、不支持が支持を上回っています。70歳以上をはじめとする中高年層においては、3月から4月にかけて、支持率 > 不支持率の差が拡大しているにもかかわらず、若年層については連動することなく、支持が低迷したままです。
■ウクライナ対応への評価:顕著な年齢差
次に【表2】をご覧ください。アドホックな二大課題に関する政府の対応について、評価を聞いた結果を年齢別にまとめました。新型コロナウィルス対策に関しては、18~29歳、30代、40代では「評価しない」>「評価する」、60代、70歳以上では逆に「評価しない」<「評価する」と、50代を交点とする対照的な傾向が存在しています。コロナ対策関連で今回採用した「新型コロナウィルスの感染が再び拡大している地域にまん延防止等重点措置を適用すべきか」質問の結果を見ると、「適用する必要はない」が若・中年層で高く、高年層で低いことが確認できます。規制基調という従来の政府の対応への忌避的感情がうかがえるでしょう。
ロシアのウクライナ侵攻をめぐる日本政府の対応に関しては、「評価する」の比率が、内閣支持率と同様に、顕著な「若低―老高」型を示しています。「評価しない」には、18~29歳を最高値とする「若高-老低」型が読み取れます。
ウクライナ関連では、他に、「ウクライナからの避難民を日本政府が受け入れたことについて、どう思うか」、「身の回りの物価が上がっても、石炭の輸入禁止など、ロシアへの経済制裁を強化すべきか」という2つの質問を採用しました。これらに対する回答結果には、「もっと多くの避難民を受け入れるべきだ」(前者質問)と「もっと強化すべきだ」(後者)において、「若低-老高」の年功傾向が見受けられます。逆に言えば、「もっと多くの避難民を受け入れるべきだ」や「もっと強化すべきだ」の回答が、全体で69%、70%とそれぞれ圧倒的多数を占める中で、「これ以上受け入れる必要はない」(全体の14%)や「これ以上強化する必要はない」(同18%)回答が、18~29歳および30代では3割という相応の割合を占めています。
【表2】コロナ対策・ウクライナ対応への評価(年齢別)

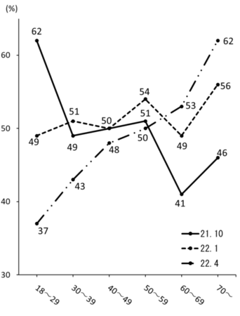
■内閣支持構造の変容:「若高―老低」から「若低―老高」へ
さて、先の【図1】でみたように、岸田内閣の支持率については、右肩上がりの年功型が定着したように思われます。ここで、21年10月の発足以来の支持構造の推移を確認してみましょう。22年10月、22 年1月、22年4月と3か月ごとの形状を示した 【図2】を参照してください。21年10月の発足時には、現在とは正反対の「若高-老低」型を示していました。ところが、22年1月にフラットな構造に変化し、22年4月には「若低-老高」型へと反転しています。
【図2】岸田内閣の年齢別支持率の推移

21年10月の「若高-老低」型は、安倍、菅政権の支持構造を受け継いでいました。それがわずか7か月後の22年4月には、かつての自民党政権の定番構造である「若低-老高」型に変容しているのです。安倍・菅支持の「若高―老低」型は、むしろ、不支持の構造的特色に転化しています(再度〔図1〕をご覧ください)。安倍政権を支えていた若年層に何が生じたのか、はたまた、反安倍のコアだった高年層で何が起こったのでしょうか。
■内閣支持・不支持を分けたもの:「コロナ」「ウクライナ」「憲法」?
今度は、質問間クロスの結果から、内閣の支持・不支持を弁別する要素を確認してみましょう。【表3】にまとめてみました。
【表3】「内閣支持・不支持」×「コロナ」「ウクライナ」「憲法」

表中のカラムの一番目、岸田内閣のコロナ対策については、「(内閣を)支持する」と答えた人たちは「評価する」が59%、「支持しない」と回答した人たちは「評価しない」が73%で、コロナ対策評価が内閣の支持・不支持を区分する要素になっています。二番目のウクライナ侵攻への政府の対応に関しては、内閣の支持派でこそ「評価する」=67%、「評価しない」=10%と肯定する割合が多数を占めるものの、不支持派については「評価しない」が若干高いとはいえ、肯定と否定の比率が拮抗しており、コロナ対策評価ほどの弁別要素にはなっていません。
さて、今月の調査では、憲法記念日が間近であることから、憲法に関する質問を3題採用しました。【表3】には、このうち「岸田文雄首相の在任中の憲法改正に賛成か」と、「憲法9条を改正して自衛隊の存在を明記することに賛成か」の2問の回答結果と内閣支持・不支持とのクロス結果を掲載しています。全体の結果は、前者が「賛成」=44%、・「反対」=31%・「わからない」=24%、後者が「賛成」=58%・「反対」=26%・「わからない」=16%でした。
岸田首相の在任中の憲法改正に関しては、内閣支持派が「賛成」=53%・「反対」=20%、不支持派は「賛成」=36%・「反対」=56%と賛否の割合が逆転しています。他方、自衛隊明記のための9条改正は、比率自体に相違はあるものの、支持派も不支持派も「賛成」が多数を占めています。安倍政権時代には、憲法改正に関する態度が、内閣の支持・不支持を明確に弁別する要素となっていましたが、岸田政権をめぐる憲法意識は、位相がかなり異なると言えるでしょう。
■政党支持と「憲法意識」
最後に、憲法意識と政党支持の関係を確認しておきましょう。【表4】は、政党支持者別の憲法改正への賛否をまとめたものです。各政党の支持率は、自民党=35%、立憲民主党=7%、日本維新の会=10%、公明党=3%、国民民主党=4%、共産党=4%、支持政党なし=31%でした。これらのうち、公明党、国民民主党、共産党については比率が小さく、支持者の度数が30~40人程度にとどまることに留意してください。
【表4】「憲法改正」×「支持政党」

【表4】を見ると、「支持政党なし」を中心とした座標上に、「自民」(ないし「自民」・「維新」)と「立憲・共産」が対極に付置していることが読み取れます。憲法改正に対する態度が、旧来の与・野党、言い換えるならば、右と左を弁別するメルクマールとして介在するという「55年体制」の残滓のような構図に他なりません。ただ、割合は少ないものの、国民民主党支持者の突出度は、若干の注目に値するかもしれません。
★本調査の結果詳細については、https://ssrc.jp/blog_articles/20220423.html でご覧ください。
【会社概要】
会社名:株式会社社会調査研究センター
代表取締役社長:松本 正生
設立:2020年4月1日
本社所在地:埼玉県さいたま市桜区下大久保255 埼玉大学内
TEL. 048-714-2063
ホームページ:https://ssrc.jp
事業内容:世論調査等各種調査の受託、世論調査研究のコンサルティングおよびコーディネートなど