概要
生涯の中で海と川を行き来する通し回遊性魚類(※1)は、生物体そのものあるいは排泄物という形で、海から川へ海の物質を運ぶことで、川の生物多様性や物質循環に大きく影響します。例えば、高緯度地域では、膨大な数のサケ科魚類が産卵のために海から川へ移動する結果、藻類や水生昆虫、魚など、川の多様な生き物へ海由来の物質が届けられ、生物の成長や個体数を支えることで、生物あふれる川の生態系がつくり出されています。一方で、日本を含む低-中緯度地域では、アユやハゼ科魚類など、サケ科魚類をはるかにしのぐ多様な両側回遊性魚類が海から川に移動しているにも関わらず、それらが川の生態系に果たす役割はほとんどわかっていません。
京都大学大学院理学研究科の田中良輔 博士後期課程学生、摂南大学の國島大河 講師、和歌山県立自然博物館の平嶋健太郎 学芸員、富山大学の太田民久 講師、総合地球環境学研究所の由水千景 上級研究員、陀安一郎 教授、東北大学大学院生命科学研究科の宇野裕美 准教授、京都大学生態学研究センターの佐藤拓哉 准教授からなる研究グループは、9種の両側回遊性魚類が、海から川へ移動する過程で摂餌・成長することにより、体に蓄えている海由来の物質の割合(海らしさ)を失いながらも、海の物質を川へ届けていることを定量的に示しました。さらにその海らしさの程度が種間(9種類、中央値で11-82%)や種内(例:ボウズハゼの場合、22-97%)で大きく異なることを明らかにしました。本成果は、低-中緯度地域に広く分布する両側回遊性魚類による海と川の繋がりを理解するための知識基盤を提供するものです。
本研究成果は、2025年5月21日にイギリスの国際学術誌「Journal of Fish Biology」にオンライン掲載されました。

図1. 本研究の概要 (A)は本研究で対象とした両側回遊性魚類。(B)は海らしさの種間、種内変異に関する概念図。
1.背景
生涯の中で海と川を行き来する通し回遊性魚類は、生物体そのものあるいは排泄物を介して、海由来の物質を川に運んでいます。このような海由来の物質は、捕食者への直接の餌、遺骸の分解や排泄による有機物や栄養塩として、しばしば貧栄養でエサ不足に陥りやすい川の生態系を支えています。特に、それらが川に届けられる量や期間、季節性は、川の生物の生き方を変えることで、川の生物多様性や生態系の機能(物質循環)に影響します。このような海と川の繋がりは、遡河回遊をするサケ科魚類が暮らす高緯度地域では広く知られています。一方で、低-中緯度地域では、遡河回遊性魚類(113種)をはるかにしのぐ368種もの両側回遊性魚類が海と川の間を移動しています。その中には、我々日本人になじみの深いアユや郷土料理の材料になるゴリ(ヨシノボリ類やチチブ類;図1A夏、秋)も含まれています。しかし、それらがどのように海と川の繋がりを生み出しているのかはほとんど調べられていませんでした。両側回遊性魚類とサケ科魚類などの遡河回遊性魚類による海と川の繋がりには、決定的な違いがあります。それは、川に入った時に体に蓄えられている海由来の物質の割合(以下、海らしさ)が異なることです。多くのサケ科魚類は、産卵のために海から川に移動し、移動途中に餌をほとんど利用しないことから、海らしさを100%近く保った体のまま川に加入すると仮定されています。そのため、少数の種が似たような移動を行うサケ科魚類では、魚の重量を海由来の物質として評価できます。一方で、多様な両側回遊性魚類は、川に移動した後も生活を続けることから、移動途中にも川の餌を食べ、成長すると考えられます。したがって、移動に伴い、彼らの体を作っている海由来の物質が徐々に川由来の物質に入れ替わることで、海らしさが少しずつ失われる可能性があります(図1B)。さらに、摂餌量や移動にかける時間のような移動の仕方が種や個体によって多様であり、移動中の成長の仕方にも違いが生まれると考えられます。その結果、海らしさの失われ方にも多様性が生まれると考えられます(図1B)。そのため、海由来の物質の量や期間、季節性を評価する際、移住の仕方が多様な両側回遊性魚類では、魚の重量に加え、種ごとや個体ごとに海らしさを考慮することが、より正確な評価に繋がると考えられます。
2.研究手法・成果
そこで本研究では、和歌山県南部の河川において、9種の両側回遊性魚類(図1A)について、海から川へ移動する個体を対象に、一年間に亘って1週間に一度のサンプリングを行いました。そして、体を作っている物質が海由来か川由来かを推定できる硫黄の安定同位体比分析(※2、3)を地球研において行い、種ごと、種内の個体ごとの海らしさを推定しました。
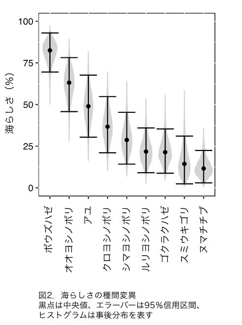
その結果、種間比較(9種)では、移動中の両側回遊性魚類の海らしさは中央値で11~82%の範囲にありました。これは、海水魚に比べれば低いものの、淡水に定住する魚類(河川加入後の両側回遊魚を含む)よりも高い値でした。(図2)。この結果は、両側回遊性魚類が、ほとんど海らしさを失った状態で川に入ってくる種からほとんど海の物質として入ってくる種まで、多様な海らしさで川へ海由来の物質を届けていることを示唆しています。

種ごとにみると、ボウズハゼ(海らしさ:中央値82%)やオオヨシノボリ(63%)など、川での生息地がより上流である種が高い海らしさを持つ傾向がありました。一方で、下流を主な生息場所にしているスミウキゴリ(14%)やヌマチチブ(11%)の海らしさが相対的に低いことがわかりました。これらの結果は、種ごとの摂餌量や成長量、移動のペースの違いを反映している可能性があります。つまり、上流に生息する種は、移動後の生活に適した場所をより早く獲得するために移動のペースを速め、ほとんど摂餌、成長せず素早く移動することで、純淡水域加入時には高い海らしさを保持している可能性があります。一方で、下流が主な生息地である種は、純淡水域への加入までに生活に適した生息地が存在すると考えられ、捕獲された場所までゆっくり移動し、その期間に十分摂餌して成長することで、海らしさがほとんど失われたことを示している可能性があります。
次に、体サイズや捕獲タイミングに基づいて種内変異を評価した結果、分析を行わなかったスミウキゴリを除く8種のうち、1種で捕獲タイミングが早い個体の海らしさが高い傾向がありました(図3A)。さらに、5種で、捕獲タイミング(あるいは集団ごとの移動時期:移動群)が早いことに加え、体サイズが小さい個体で海らしさが高い傾向がみられました(図3B)。これは、短期間で、あるいは餌を食べずに移動した個体では、移動中の成長量が小さく、その結果として、海らしさがあまり失われていない可能性を示唆しています。
これらの結果をまとめると、両側回遊性魚類は、種や種内の個体ごとの移動の仕方に応じて、海らしさを失いながらも海由来の物質を川に届けていることが明らかになりました。これは、餌を消費しながら海から川へ移動する魚類において、海由来の物質の量や期間、季節性の評価の際には、海らしさが重要なパラメータであることを定量的に示した、世界的にも例のない成果です。

この海らしさを用いることで、一年を通した海由来の物質の総量や期間、季節性を、どの種が中心となって生み出しているかを評価することができるようになります。これは、低-中緯度地域において、両側回遊性生物による海と川の繋がりが、いつどのように川の生物の生き方を変え、川の生物多様性の維持に貢献しているかを理解することに繋がります。
3.波及効果、今後の予定
本研究では、海と川を繋ぐ魚類が川に届ける海由来の物質の量を種や個体レベルで評価するための手法を確立しました。今後は、ある川に移動する両側回遊性魚類の種全体として一年を通してどのくらいの海由来の物質が届けられているかを定量していきます。また、それが川の生物にどのように利用され、川の種多様性に影響しているかを検証していきます。
また、この研究では、両側回遊性魚類が川に海由来の物質を届けることに着目しています。一方でこれらの生物は川の生物を食べることを通しても、川の生物多様性や物質の循環に影響している可能性があります。両方の機能がどのように関わり合いながら川の生態系を形作っているのかを理解することが、低-中緯度地域の海と川の繋がりの意義を理解する上で重要になると考えています。
4.研究プロジェクトについて
田中良輔:KAKENHI特別研究員奨励費 22KJ1960「両側回遊生物による河川生態系への海洋資源輸送における種多様性効果」2022-2024
本研究は、総合地球環境学研究所の同位体環境学共同研究事業の支援により行いました。
<用語解説>
(※1)通し回遊性魚類:生涯の中で海と川を行き来する魚類。産卵と成長のタイミングを海と川のどちらで過ごすかによって、遡河回遊性魚類、降河回遊性魚類、両側回遊性魚類に分類されます。遡河回遊性魚類は、海で成長し、川で産卵を行う魚類で、サケ科魚類があたります。降河回遊性魚類は、ウナギのように川で成長し、海で産卵する魚類のことをいいます。アユやハゼ科魚類のように、川で孵化した後、すぐに海に移動し、種ごとに数週間から数ヶ月程度の初期成長を行った後、再び川に移動し成長と繁殖を行う魚類のグループのことを両側回遊性魚類といいます。
(※2)安定同位体比分析:炭素、窒素、水素、酸素、硫黄などの生元素には、陽子の数は同じですが中性子の数は異なる同位体が存在します。そのうち、時間経過とともに原子が変化しないものを安定同位体といいます。生物の筋肉組織において安定同位体の存在比率(安定同位体比)を分析することで、体を作っている物質の由来を推定することができます。
(※3)硫黄安定同位体比:中性子の数が16個存在する32Sと18個存在する34Sの安定同位体の比(34S/32S)で、通常、海水の値は淡水の値よりも高いことが知られています。この性質を利用して、生物の体に含まれる海由来の物質の割合を推定することができます。
<研究者のコメント>
「海との繋がりが健全に保たれている川では、少し川を探せば見つかるくらいに、多様で膨大な個体数の両側回遊性魚類が暮らしています。川と海の分断が全国的・全球的に進む中で、彼らが海と川を繋いでくれることの意味を明らかにしていくことは、川や海の生態系の健全性を保つ一助になると考えています。本研究は、そのスタートラインに立つ基礎的な研究と捉えています。」(田中良輔)
<論文タイトルと著者>
タイトル:Inter- and intra-specific variation in the degree of marine-derived resources of amphidromous fishes(両側回遊性魚類の体を構成する海洋由来物質の割合における種間、種内変異)
著 者:Ryosuke Tanaka, Taiga Kunishima, Kentarou Hirashima, Tamihisa Ohta, Chikage Yoshimizu, Ichiro Tayasu, Hiromi Uno, Takuya Sato
掲 載 誌:Journal of Fish Biology DOI:10.1111/jfb.70084