実験心理学的手法を用いて確認
千葉大学文学部4年生の尾田 拓人氏(研究実施当時)と千葉大学大学院人文科学研究院の一川 誠教授は、時間の長さの知覚(時間長知覚)がどのような要因で形成されているかを調査するため、直近の経験が時間長知覚に及ぼす影響について調べました。その結果、時間の長さの知覚には、数百回程度の観察経験は影響しないこと、直前の判断とは逆の判断を行うという非学習的で順応的な判断傾向があることが示されました。
この成果は、人間の知覚系がそれなりに正確な時間の長さの知覚を成立させていることの基礎にある過程に対して、経験が及ぼす影響の解明につながることが期待されます。
本研究成果は、日本視覚学会誌VISIONにて2023年4月20日に公開されました。
研究の背景
時間長知覚は特定の感覚器を持ちません。そのため、知覚系は時間の長さに直接的に対応する知覚情報を得ることができず、正確な時間長知覚は本質的に困難です。しかしながら、私たちは、日常生活に困らない程度の時間長知覚を行うことができていることから、それなりに正確な時間長知覚は、過去の経験からの影響によって形成されているものと考えられます。
時間長知覚には、期間中の出来事の数や時間経過に注意を向ける回数、時間の長さ以外の知覚的な量の情報など、本来は時間の長さと直接的な対応関係のないさまざまな要因に対応して決定され、時間長知覚に手がかり的に機能することがわかっています。こうした要因が手がかりとして機能することには、過去の経験が寄与している可能性が考えられています。直近の過去の経験が知覚に及ぼす効果を調べた過去の研究では、手がかりの「確率学習」(注1)と直前の経験による「同化/対比的影響」(注2)が要因として見出されましたが、それらが時間長知覚にどのような影響を及ぼすかはまだほとんど調べられたことがありません。本研究では、時間長知覚における「確率学習」や「同化/対比的影響」について検討し、経験が時間長知覚にどのような影響を及ぼすのか調べました。
研究方法: 確率学習と同化/対比的影響の検討
実験では、各参加者は視覚刺激(動画や静止画)が何秒間ほど提示されたかを判断して回答する試行を計500回行いました。試行には「トレーニング試行」と「テスト試行」の2種類があり、1試行ごとに交互に行われました。実験参加者は「学習あり条件」「学習なし条件」のグループに予め分けられており、学習あり条件ではトレーニング試行における視覚刺激の長さと提示位置が固定されました(図1)。テスト試行では、どちらのグループも視覚刺激が上下の視野位置のいずれかに1.6、1.9、2.0、2.1、2.4秒間のいずれかの長さで提示されました。参加者は、トレーニング試行においてもテスト試行においても、それぞれの刺激が1秒間と3秒間のどちらに近い長さだったか判断をしました。
この方法は、「空間知覚」において、トレーニング試行での確率学習がテスト試行の知覚に影響を及ぼすことを明らかにした研究(関連論文情報参照)と、同様の手法で行われました。

研究の結果: 確率学習は認められなかったが、直前の刺激に対する対比的処理が認められた
実験1、実験2ともに、「学習あり条件」と「学習なし条件」との間で、テスト試行における時間の長さの判断に違いがないことが示されました(図2)。この結果は、トレーニング試行における視野位置と視覚刺激の長さとの関係が固定されている経験は、テスト試行における時間の長さの判断に影響を及ぼさなかったことを意味しています。

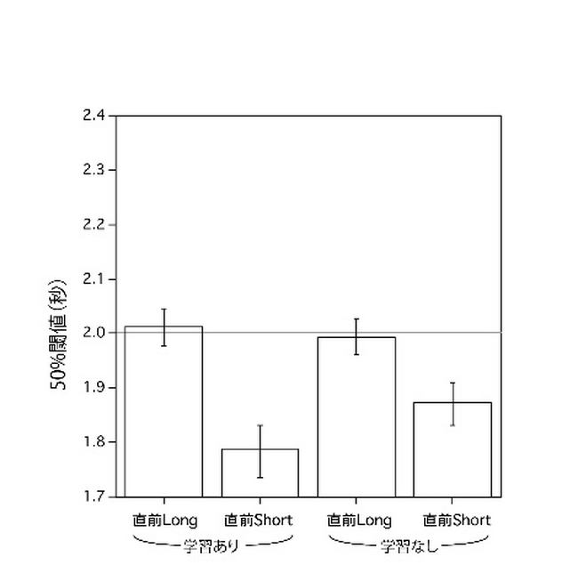
他方、直前のトレーニング試行で提示された視覚刺激が1秒間か3秒間かでテスト試行における時間の長さ判断が変わることが、静止画像を用いた実験2で示されました(図3)。すなわち、1秒間と3秒間のちょうど中間にあたる2秒間と同等の長さに感じられる時間の長さが、直前の刺激が3秒間であれば2秒間程度であったのに対し、直前の刺激が1秒間であれば、2秒間より有意に短くなっており、テスト刺激が実際より長く感じられたことが示されました。この結果は、直前の視覚刺激の長さに対して対比的な処理がなされたことを意味しています。

まとめ
実験結果により、空間知覚では認められた数百回程度の随伴提示に基づく確率学習は、時間長知覚に関しては認められないことがわかりました。また、時間長知覚には、直前の判断とは逆の判断を行うという、非学習的で順応的な判断傾向が存在していることが示されました。時間の長さの知覚には、期間中の出来事の数や時間経過に注意を向ける回数、時間の長さ以外の知覚的な量の情報などの要因が機能することがわかっています。今後、これらの要因が時間の長さの知覚に及ぼす影響の基礎について、短期間の随伴的な経験以外にどのような原理が関わっているのか解明する必要があります。
用語解説
注1) 確率学習: 線遠近法や陰影、重なり等の奥行き手がかりの獲得など、環境における確率的な特徴についての経験を通して、その確率的特性に対応した処理を行うようになること。
注2) 同化/対比: 刺激間の特徴の差を小さくするような処理を同化、刺激間の特徴の差を強調するような処理を対比と呼ぶ。
論文情報
タイトル: 時間の長さの知覚への経験の効果の検討
著者: 尾田 拓人、一川 誠
雑誌名: VISION
DOI:10.24636/vision.35.2_43
関連論文情報
タイトル: Demonstration of cue recruitment: change in visual appearance by means of Pavlovian conditioning.
著者: Qi, H., Saunders, J. A., Stone, R. W., & Backus, B. T.
雑誌名: Proceedings of the National Academy of Sciences
DOI:10.1073/pnas.0506728103