住友ベークライト株式会社(本社:東京都品川区、代表取締役社長:鍜治屋 伸一)は、多様化する複合材料の開発ニーズに対応すべく、各種素材への高い密着性を追求した特殊変性フェノール樹脂製品群を新たにシリーズ化いたしました。本シリーズは、フェノール樹脂の特長である高い耐熱性・耐久性に加え、当社独自技術によって、金属から有機物・無機物まで多様な素材への優れた密着性を実現しており、多くの用途・業界で高い信頼性を発揮します。
開発の背景
近年、電子材料や車載部品、航空宇宙分野をはじめとする様々な領域で、材料の軽量化、高強度化、高耐熱化といった性能要求が、単一素材では対応困難なほどに高度化しており、複合材料へのニーズが急速に高まっています。そのような状況下で、フェノール樹脂は優れた耐久性と耐熱性を活かし、複合バインダーとして幅広く採用されております。

当社では、独自の合成技術を駆使して、各種素材への高い密着性に特化したフェノール樹脂製品を開発し、各業界での実績化を進めてまいりました。この度、より多くのお客様の多様なニーズに応えるべく、これら高密着性フェノール樹脂製品をシリーズ化し、ラインナップを拡充いたしました。以下に、その代表的な製品例をご紹介いたします。
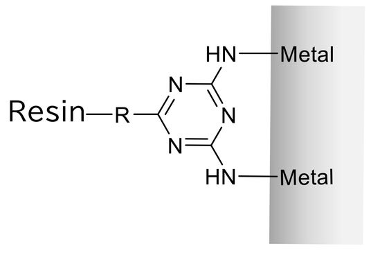
▮金属密着用フェノール樹脂 スミライトレジン(R) PR-56464
金属密着用フェノール樹脂「スミライトレジン(R) PR-56464」は、固形のノボラック型フェノール樹脂です。バインダーとして配合することで、トリアジン構造が金属表面と配位結合を形成し、金属基材に対して高い密着強度を発揮します。本製品は、電子部品等に用いられる熱硬化性材料へ配合することで、高信頼性の確保に貢献します。

銅基板との密着性評価として、フェノール樹脂成形材料を用いたダイシェア強度試験では、汎用フェノール樹脂の代わりに金属密着用フェノール樹脂「PR-56464」を配合することで、密着強度が大幅に向上しました。また、試験後の破壊モードを比較すると、「PR-56464」配合材料では凝集破壊が観察されており、このことからも接着強度の向上が確認できます。

図1:ダイシェア強度試験モデル図
図2:フェノール樹脂成形材料での銅密着強度試験結果


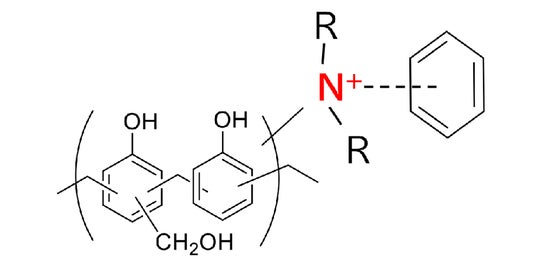
▮カーボン密着用フェノール樹脂 スミライトレジン(R) PR-56091(溶剤系) AQNOA(R) PR-56542(水系)
カーボン素材は、その優れた軽量性や高強度、高熱伝導性から、多くの先端分野で利用されていますが、化学的に安定した構造を持ち、表面に官能基がほとんど存在しないため、他素材との密着が難しいという課題があります。
カーボン密着用「スミライトレジン(R) PR-56091」および「スミライトレジン(R) AQNOA(R) PR-56542」は、カチオンπ相互作用によりカーボン素材との親和性を高めたフェノール樹脂です。これらをカーボン系複合材料のバインダーとして使用することで、カーボン素材との親和性が向上し、密着性や耐久性が改善します。また、フェノール樹脂は合成樹脂の中で極めて高い炭化収率を有しているため、炭化焼成させることによって、カーボンバインダーとしても機能を発揮します。

中でも、「スミライトレジン(R) AQNOA(R) PR-56542」は環境性能に優れた水溶性タイプのフェノール樹脂であり、環境負荷物質であるフェノールやホルムアルデヒドを0.1%未満まで低減させた当社独自の製品となります。
図3:カーボンへの親和性評価

評価条件:100ccビーカーに液状フェノール樹脂50gと炭素繊維チョップ1gを投入して撹拌。1日間放置後の分散状態を目視で観察。
中でも、「スミライトレジン(R) AQNOA(R) PR-56542」は環境性能に優れた水溶性タイプのフェノール樹脂であり、環境負荷物質であるフェノールやホルムアルデヒドを0.1%未満まで低減させた当社独自の製品となります。
※詳しくは以下HPをご参照ください。
超低モノマー水溶性フェノール樹脂 AQNOA(R)
▮その他ラインナップ
この他にも、無機フィラー、アラミド繊維、鋼板、水性塗料配合用など、様々な素材に特化した高密着性フェノール樹脂をラインナップしております。各品番の詳細データはHPで公開しています。
高密着性特殊フェノール樹脂
環境負荷低減とサステナビリティ
高密着性特殊変性フェノール樹脂シリーズは、高い密着性を通じて、接着剤量や前処理工程の削減、および複合材料製品の耐久性を向上させることで製品寿命の延長により廃棄物の削減が期待できます。これにより、持続可能な社会の実現に貢献いたします。
今後の計画
高密着性特殊変性フェノール樹脂の販売を通じて、お客様の多様化する材料設計ニーズを的確に把握し、当社の強みである樹脂開発力を最大限に活かした高機能なポリマー新製品の開発を積極的に進め、半導体、モビリティ、エネルギーといった重点分野において、2030年度までにグローバルでの年間売上収益20億円に向けて取り組んでまいります。
本件に関するお問い合わせ
住友ベークライト株式会社 マテリアルズソリューション営業本部 ポリマー営業部
TEL: 03-5462-4115
ポリマー製品へのお問い合わせ | 住友ベークライト株式会社