新電力会社の利用状況に関するアンケート
エネルギー価格高騰の影響が各所で表れています。帝国データバンクの2022年3月の調査でも企業の仕入単価DIが過去20年で最高の水準を記録しました。なかでも新電力業界では、調達コストの急激な上昇などから、2021年度の新電力会社の倒産件数は過去最多 となるなど厳しい状況が続いています。
そこで、帝国データバンクは、企業の電力会社の利用状況に関するアンケートを行いました。
<調査結果(要旨)>
現在、企業の28.8%が「新電力会社」を利用
新電力会社の料金価格高騰や事業撤退などを受け、大手電力会社へ切り替えを検討する企業も
現在、企業の28.8%が「新電力会社」を利用

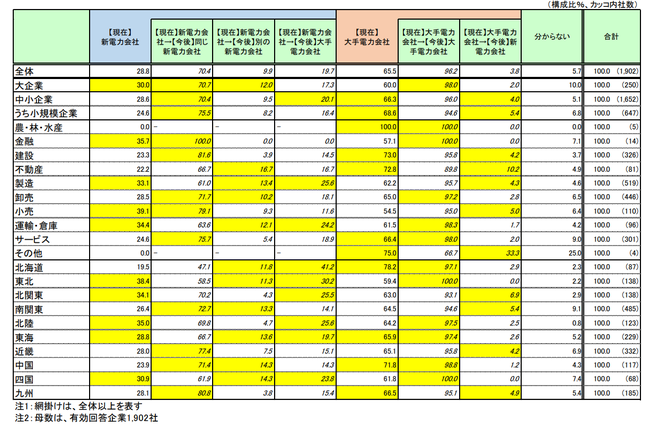
現在、利用している電力会社について尋ねたところ、「新電力会社[1]」が28.8%と約3割にのぼりました。企業からは「料金面でのメリットがあるうちは、継続する予定」(建設機械器具賃貸、岡山県)とあるように、コスト面でのメリットに関する声があがっていました。
他方、「大手電力会社[2]」を利用する企業は65.5%となっています。
[1] 「新電力会社」は、大手電力会社以外の登録小売電気事業者
[2] 「大手電力会社」は、電力大手10社(旧一般電気事業者)
現在、企業の28.8%が「新電力会社」を利用

さらに、今後の電力会社の利用予定(切り替え予定・検討含む)についても尋ねたところ、現在、大手電力会社を利用する企業のうち「【今後】大手電力会社を利用」する企業は96.2%となりました。次いで、現在、新電力会社を利用する企業のうち「【今後】同じ新電力会社を利用」と回答した企業が70.4%で続いています。
また、「新電力会社と契約していたが、料金が大手電力会社より高くなるとのことになり、最近大手電力会社へ申し込みをした。6月から切り替えとなる」(ごみ収集運搬、北海道)とあるように、現在、新電力会社を利用する企業のうち約2割の企業で「【今後】大手電力会社を利用」(19.7%)と回答しました。
「【現在】大手電力会社→【今後】大手電力会社」を利用する企業からの主な声
新電力会社は一見安価に見えるが、継続性の問題・倒産のリスクなどデメリットが大きいと思う(樹脂加工機械等製造、愛知県)
エネルギー市場高騰時は、電気料金が異常なほど高額になってしまうため、平時、大手電力会社の単価が多少割高でもトータルで見れば、大手電力会社の方が割安である(鉄鋼・同加工品卸売、新潟県)
「【現在】大手電力会社→【今後】新電力会社」を利用する企業からの主な声
大手電力会社は燃料費の高騰から2021年に比べ2倍近い値上げがあったため、新電力会社への切り替えを検討中(貸事務所、千葉県)
大手電力会社より電気代が少し安い。毎月必ず発生する費用なので少しでも安いほうがお得と考える(建築工事、沖縄県)
「【現在】新電力会社→【今後】同じ新電力会社」を利用する企業からの主な声
コスト削減のため新電力に切り替えたが、今後別の新電力会社や大手電力会社に切り替えても現状では大きなコストダウンは期待できず、当面今まで通りで継続予定(段ボール箱製造、長野県)
新電力会社が取引先業者であり、電気料金のメリットもあるため、同社を使用している。現状は特段のデメリットは感じていない(鉄鋼・同加工品卸売、岩手県)
「【現在】新電力会社→【今後】大手電力会社」を利用する企業からの主な声
n 新電力会社は低価格で重宝したが、倒産が相次いでおり自社の利用する新電力会社も廃業の見込みとなった。現在、大手電力会社と交渉中だが、難航することが予想される(機械同部品製造修理、北海道)
新電力会社を利用していたが、昨今の情勢により4月で同社が事業撤退。5月より大手へ切り替える(肉製品製造、山形県)
大手電力会社から約5年前に新電力会社へ切り替えた。2021年3月に新電力会社より供給停止の連絡があり、他の電力会社との契約を検討したが、すべて契約を拒否された。現在は大手電力会社の最終保障供給でまかなっている(他の事業サービス、愛知県)
本アンケートの結果、約3割の企業で「新電力会社」を利用していました。しかしながら、そのうち約2割の企業では、昨今の電気料金高騰の影響を受けるなどの理由から「新電力会社」から「大手電力会社」への切り替えを検討しています。とりわけ、倒産や事業撤退などがあった新電力会社から電力の供給を受けていた企業では、新たな供給元探しが難航するなどの問題も生じています。
引き続きエネルギー価格の高騰が不安視されるなか、新電力会社の倒産や事業撤退による影響の拡大が懸念されます。

■アンケート期間は2022年5月6日~9日、有効回答企業数は1,902社(インターネット調査)
■本調査における詳細データは景気動向オンライン(https://www.tdb-di.com)に掲載している