分数・平方根・三角関数など、小中高で扱う幅広い数式に対応
株式会社LoiLoは、授業支援クラウド「ロイロノート・スクール」に数式入力機能を追加しました。アプリ内のキーボードを使うことで、数式を簡単に入力できます。小中学校で扱う基礎的なものから高校で扱う発展的なものまで、様々な数式に対応しています。

主な特長
【特長1】 分数やルートを含んだ複雑な数式が入力できる!
文字入力画面で √x マークを押すと、画面上のキーボードで数式を入力できます。

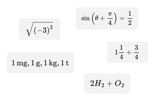
【特長2】 幅広い数式に対応◎
単位や分数など、小中学校で扱う基礎的なものから、三角関数など、高校で扱う発展的なものまで、さまざまな数式に対応しています。化学反応式も入力可能です。

【特長3】 テストカードの問題にも!
テストカードの問題文、選択肢(単一・複数)にも数式を入力できます。単元ごとの小テストなどにご活用いただけます。

詳しい使い方を公式サポートページで公開中!
ロイロノート・スクール 公式サポートページにて、数式入力機能の使い方やキーボードの種類を詳しくご紹介しています。ぜひご活用ください。

ロイロノート・スクールについて
ロイロノート・スクール※ は、小学校から大学まで、すべての教科で使える協働学習・授業支援プラットフォームです。容量無制限で、学習資料や思考プロセスを記録でき、子どもたちの「考える力」や「学ぶ力」を育みます。資料のやりとりや提出物の管理、思考ツールを活用した深い学び、協働編集による相互参照、自動採点テスト、AIによる高精度なWebフィルタなど、多彩な機能で「個別最適な学び」と「協働的な学び」の両立、教員の負担軽減を実現します。マルチプラットフォーム対応で、国内外約1万3000校、毎日280万人以上に利用されています。詳しくはWebページをご覧ください。
https://n.loilo.tv/ja
※ ロイロノートは、株式会社LoiLoの商標です。