-プラズマ対向材料の選定に関する重要な知見を獲得-
静岡大学理学部の大矢恭久准教授のグループでは、合肥工業大学(中国)、核融合科学研究所、量子科学技術研究開発機構六ヶ所フュージョンエネルギー研究所、サンディア国立研究所(米国)、アイダホ国立研究所(米国)、近畿大学、東北大学との共同研究グループにおいて、タングステンにおける水素同位体滞留挙動に及ぼす合金元素・分散粒子の役割を系統的に比較し、原型炉開発における燃料システム設計の観点からプラズマ対向材料の選定に資する実験結果を得ました。
核融合炉内には様々な機器が設置されており、エネルギーを熱に変換するブランケットや熱流束を受け止めるダイバータというものがあります。第一壁と呼ばれるブランケットの壁材料やダイバータのことを広くプラズマ対向材料と言い、金属のタングステンが有望であるとされています。長期間の運転に耐えるべく、熱機械特性の向上を目的として先進プラズマ対向材料が開発・製造されています。本研究では、タングステンにおける重要な課題であるトリチウム滞留の観点から先進プラズマ対向材であるタングステン-タンタル合金、タングステン-モリブデン合金、カリウムドープタングステンにおける重水素滞留挙動挙動をタングステンと比較しました。その結果、中性子照射による照射損傷を模擬するために鉄イオン照射により導入された照射損傷は、タングステンの重水素滞留量を1桁以上増加させた一方で、タングステン-タンタル合金、タングステン-モリブデン合金およびカリウムドープタングステンでは、滞留量の増加はタングステンよりも小さく、約1.5~4倍にとどまりました。重水素滞留挙動のシミュレーション結果から、タンタル及びモリブデンの合金化や分散粒子であるカリウムバブルの存在により高い捕捉エネルギーの欠陥密度が低減することが示されました。
本研究による成果は、将来の原型炉開発に向けたプラズマ対向材料の研究開発及び材料の選定に資するものです。この成果は、2026年1月25日にElsevierが出版する国際学術誌「Nuclear Materials and Energy」にオンライン掲載されました。
【発表のポイント】
・ タングステンにおける重水素滞留挙動に及ぼす合金元素・分散粒子の影響を系統的に比較し、役割を明確化した。
・ 照射損傷に対する重水素滞留挙動の違いを明らかにし、材料ごとの水素同位体滞留挙動の特徴を整理した。
【研究背景】
中性子照射や重イオン照射により照射損傷を与えたタングステンにおける水素同位体挙動に関するデータの蓄積は十分に進んでいる。新たな材料として先進プラズマ対向材料と呼ばれるタングステン合金や分散強化タングステンが研究開発され、超高温・高磁場・高線量の放射線照射を受ける核融合炉内の極限環境に耐えうる材料であると有望視されている。カリウムを添加したカリウムドープタングステンでは、タングステンと比較して中性子照射への耐性向上、タンタルを合金化したタングステン-タンタル合金では再結晶温度の上昇と延性脆性遷移温度の低下、モリブデンを合金化したタングステン-モリブデン合金では放射線耐性の向上がそれぞれ報告されている。しかし、これらの先進プラズマ対向材料における水素同位体挙動に関する知見は少なく、特に照射損傷に対する欠陥構造の変化や、合金元素・分散粒子の役割について未解明な部分が多い。そこで、本研究では、これらの三種類の材料に着目し、合金元素・分散粒子の影響を系統的に比較検討した。
【研究の成果】
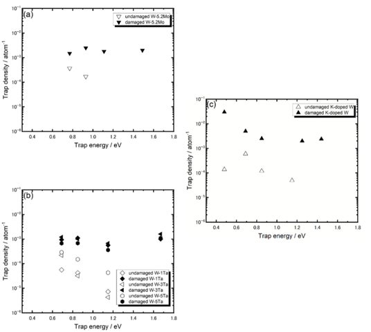
本研究では、タングステン(W)、タンタル濃度をそれぞれ1%、3%、5%としたタングステン-タンタル合金(W-1,3,5Ta)、モリブデン濃度を5.2%としたW-5.2Mo及び数十appm程度のカリウムを添加したカリウムドープタングステン(K-doped W)を対象に、高エネルギーの鉄イオン(6 MeV Fe2+)照射により照射損傷を与えた。陽電子寿命測定法(PAS) (注1)により欠陥のサイズと密度を評価した結果を図1に示す。PASでは1 dpaの照射後に平均陽電子寿命が200 ps超へ増加し、長寿命成分が約500 psに達しボイドが形成されたと考えられる。W-TaおよびW-Moでは長寿命成分の割合が純Wより低く、ボイド密度が抑制されたことが分かったが、K-doped WはWと同程度であった。重水素滞留挙動を評価するため、重水素イオン照射後に昇温脱離法(TDS) (注2)による評価を行った。この実験的評価に加えてHIDT(Hydrogen Isotope Diffusion and Trapping)シミュレーション(注3)により欠陥密度の定量的評価を行った。非照射のWにおける主な捕捉エネルギーはいずれも1.2 eV未満であり、照射後には約1.60 eVの高エネルギートラップが出現した。HIDTシミュレーションによる重水素の捕捉エネルギーと欠陥密度の比較した結果を図2に示す。W-TaではTaが空孔やボイドに凝集しボイド由来の捕捉が低減すること、KドープWでは大型ボイド形成が抑制され低エネルギートラップが主要であることが示された。本研究の結果から、TaおよびMoの添加は照射により形成される空孔やボイドに由来する高い捕捉エネルギーの捕捉サイトの密度を低減し、K-doped WではKバブルの形成により1.6 eV以上の安定な高エネルギートラップが抑制される一方で、約0.48 eVの低エネルギートラップが主要な捕捉サイトとなることが示された。

図1 非照射(undamaged)及び鉄イオン照射後(1 dpa)のW、W-1,3,5Ta、W-5.2Mo、K-doped Wにおける陽電子平均寿命

図2 HIDTシミュレーションによる重水素の捕捉エネルギーと欠陥密度の比較
【用語説明】
注1:陽電子寿命測定法(PAS)
陽電子線源(22Na)から放出される陽電子とガンマ線を利用した材料中の空孔型欠陥のサイズや密度を評価する手法。陽電子は材料中の自由電子と結合し、その際に陽電子消滅放射線を放出する。この陽電子消滅放射線と陽電子線源から放出されたガンマ線が検出器に入射するまでの時間差により欠陥の大きさを定量化することができる。
注2: 昇温脱離法(TDS)
真空中で、試料中に固溶している気体を加熱することで脱離し、質量分析計で測定する手法。
注3:HIDT(Hydrogen Isotope Diffusion and Trapping)シミュレーション
水素同位体の拡散、捕捉および脱離挙動を記述する数値解析手法で、材料のパラメータや実験条件を与えることで実験結果の再現を行う。
【論文情報】
題 名:Comparison of D retention for advanced plasma facing materials by D ion implantation
雑誌名:Nuclear Materials and Energy
巻 号:46(2026)102069
著 者:Shingo Okumura, Yuzuka Hoshino, Ayumu Hayakawa, Kenshiro Miura, Fei Sun, Suguru Masuzaki, Makoto Oyaizu, Robert Kolasinski, Chase N. Taylor, Teppei Otsuka, Yuji Hatano, Masashi Shimada, Hao Yu, Ryuta Kasada, Akira Hasegawa, Yasuhisa Oya
【研究助成】
本研究は、核融合科学研究所共同研究(NIFS19HDAF002及びNIFS24KFTT00)の支援を受けて実施されました。また、東北大学金属材料研究所(GIMRT)のプログラム(202312-RDKGE-0069)の支援を受けました。鉄イオン照射実験では、量子科学技術研究開発機構(QST)高崎量子技術基盤研究所のTIARA施設において、東京大学大学開放研究室一般共同研究プロジェクト(2024202005)として実施されました。